微分方程第一步吃透概念-复数多项式方程及矩阵理论_行业资讯_半岛体育平台下载-半岛电竞游戏官方app
当前位置: 首页 > 资讯动态 > 行业资讯

微分方程第一步吃透概念-复数多项式方程及矩阵理论

2024-04-07 作者:半岛游戏官方网站 

  正如我在系列的第一篇文章量子力学之路——坚实的数理基础至关重要,没有捷径可走中提到的那样,学习量子力学有一些,而一些先决条件并不简单,如很多数学主题,这些主题我在“量子力学之路”系列中大多数都会讲到,但不会深入。因此我决定同步开启“

  复数就是形如x+iy的数字,其中x和y是实数,i^2=-1。实数x和y分别称为z的实部和虚部,表示为:

  复数可以绘制在一个矩形网格上,类似于实数对(x,y)被绘制在一个直角坐标系统上。你可以简单地用一对实数(x,y)来确定复数z=x+iy,并绘制(x,y)。y轴称为虚轴,x轴称为实轴。

  系数a_i可能不是实数,但在本系列文章中它们总是实数。在任何情况下,代数基本定理表明,方程p_n(x)=0有n个解。

  但上面的式子是关于x的恒等式,通过令x=r,我们大家可以得到r =0当且仅当p_n(r)=0,也就是说,当且仅当r是p_n(x)的根。

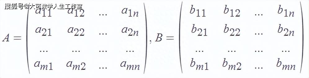
  矩阵是一组数字的矩形数组。一般来说,矩阵用黑体字大写字母表示。我们用A来表示p×q矩阵,它的元素是a_ij。也就是

  只有一列的矩阵称为向量。我们用黑体小写字母来表示向量,这与我们对矩阵的约定一致。A的列向量就是

  行数和列数相同的矩阵称为方阵。方阵的非对角元素是a_ij,其中i≠j。非对角元素都为零的方阵称为对角阵。

  I_n矩阵(其中n是正整数),是所有对角元素都是1的对角矩阵。这些矩阵称为单位矩阵。所以:

  是单位矩阵。I_n的列被赋予特殊的符号e_1,e_2,…,e_n;也就是:

  当上下文明确了I_n的大小时,就可以去掉下标n。那些位于对角线以下的非对角线项为零的方阵称为上三角矩阵(上三角矩阵同理可得)。

  我们定义0矩阵O_n为nXn矩阵,它所有的元素都是0。所以O_n也是对角线。

  我们可以用消元法来解方程组。注意消去过程很大程度上依赖于每个方程中未知变量的系数。

  把方程组的系数和方程组右边的常数放在一起得到一个增广矩阵。化简这个增广矩阵能够获得方程组的解。注意,当系数矩阵简化为单位矩阵时,右边的系数列就是解向量。

  这里的关键点是初等行运算用另一个方程组替换了一个方程组,后者的解集与前者的解集相同。这种解法称为高斯消去法。

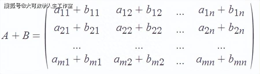
  对于所有的i和j,如果a_ij=b_ij,则A=B。因此,两个矩阵相等,意味着矩阵相应项相等。

  用第一列替换第一行,用第二列替换第二行,以此类推,直到所有的列都变成行。由这个交换得到的矩阵称为原矩阵的转置,[a_ij]^T=[a_ji]。我们用A^T来表示A的转置。

  一个向量的转置是一个只有一行的矩阵,有时称为行向量。为了尽最大可能避免混淆,我们用逗号分隔行向量的各个元素。

  请注意,转置和加法的定义引出了这样的结论:C=A+B意味着C^T=A^T+B^T。

  如果矩阵A等于它自己的转置,即A^T=A,那么它就是对称的;如果A^T=-A,那么它是反对称的。对称矩阵和反对称矩阵必须是方阵。

  如果A是m×q矩阵,元素为a_ij ;B是q×n矩阵,元素为b_ij,那么乘积C=AB是m×n矩阵,c_ij为:

  为了使上面的定义有意义,A的每一行必须有和B的每一列有一样多的元素。这在某种程度上预示着A的列数必须与B的行数相同。

  因此,如果A是2×3矩阵, B是3×3矩阵,那么AB是有定义的,而BA没有定义。因此矩阵乘法是不满足交换律的。

  上面可以写成Ax=b。我们将反复使用这个表达。在不明确A的大小的情况下,我们假设A是m×n,因此x是一个有n个元素的向量,b是一个有m个元素的向量,尽管在大多数应用中m=n。

  为了达到类似的目的,我们引入了矩阵逆的符号。如果存在一个方阵B,使AB=I=BA,那么方阵A就是非奇异的,或者说有一个逆,或是说可逆的。很明显,不是所有的矩阵都有逆矩阵。

  一个不可逆的方阵就是一个A^(-1)不存在的方阵。这样的矩阵称为奇异或不可逆矩阵。

  当且仅当A是奇异阵时,方程组Ax=0有解x≠0。当且仅当A是可逆的,这个方程组只有解x=0。

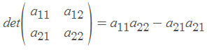
  A的行列式是一个只在方阵中定义的标量,记作det(A)。它有n的阶乘项,每一项是A的元素的正负乘积:

  其中第二个下标,由∗表示,是数字{1,2,…,n}之一,其中没有一个被使用两次。指数k是第二个下标的逆序数。因此,

  由于数字{1,2,…,n}的每个排列都有一项,所以上面的和包含n的阶乘项。由于这个原因,实际上并不使用上面的求和来计算。如果n=2,定义是容易使用的,

  有两种常用的det(A)的求值方法。在本节中,我们将探讨最高效的方法。该方法依赖于两个基本定理:

  这两个定理为计算行列式提供了一种有效的方法。注意,定理8描述了初等行运算对det(A)的影响。

  我们能够迅速准确地计算初等行变换的结果。所以对于含有已知常数项的矩阵,行化成三角矩阵是计算行列式的首选方法。对于有参数项的矩阵,通常使用其他方法。

  由于矩阵乘法和行列式的定义复杂,乘积的行列式和行列式的乘积之间有着一种简单的关系:

  a_ij的代数余子式写成A_ij,等于余子式乘以 (-1)^(i+j)。代数余子式的重要性是由于以下的重要定理:

  方程组Ax=0可以有无穷多个解。为了描述这种系统的所有解的集合,我们一定要首先理解线性无关的概念。

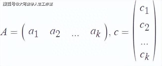
  假设已知k个向量a_1, a_2,…,a_k和k个标量c_1 ,c_2…,c_k。考虑到表达式

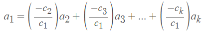
  不是全部为零如果上面的方程对某些标量成立(不是全部为零),那么向量a_1,a_2,…,a_k就是线,…,c_k就叫作权值。由上式可知

  A,它的列是向量a_1,a_2,…,a_k,它的项的权值是c_1,c_2,…,a_k。因此:

  Ac=0存在非零解时,矩阵A的列向量才是线性无关的。那么,c的元素就是权值。

  A是方阵,那么基于线性相关的行列式的判据是可能和方便的。基本的思想是:如果A是可逆的,那么推论1,系统Ac+0只有平凡解,因为



Copyright © 2022 半岛体育平台下载-半岛电竞游戏官方app—冰屏、透明LED显示屏、晶膜屏、贴膜屏,自主研发/生产/销售/服务 备案号:粤ICP备19012069号